有人说是 = 1,有人说是 = 9,给我来说应该是 =9,因为从不同角度来计算,都是 =9.
我们就来看看吧!
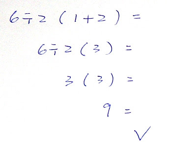
题目是 6÷2(1+2)= ?
第一个算法答案是 = 9,我的答案是9,因为挂号的先算6÷2(3),然后3(3),挂号揭开来就是X,所以是3X3=9
第二个算法也是 = 9,因为挂号的一定先算,那是不变的道理。我们就将除2带到另一边的等于X2所以是6(3)=(2),那么我们算前面的6(3)=18,那么我们在将后面的2倒转回来变成除...18除2是多少?答案是9
很多人用这种算法,因为他们忘记了还有一个如果要等于1,还漏了一个大挂号。这个挂号就是关键所在,请看以下图......
还是有白痴学者发出网稿说是等于1,请点击这里我的答案是 = 9, 你呢?










没有评论:
发表评论